Software & Analytics

Our comprehensive software and analytics solutions are designed to streamline your electronic genome mapping (EGM) workflows. Empower your lab with the high-quality data acquisition, targeted analysis, and genome-wide structural variant (SV) discovery the OhmX™ Platform offers.
OhmX Analytical Pipeline

- Instrument control software
- Raw data acquisition
- Genome-wide de novo assembly-based variant calling
- Application-specific tools
- Curation tools
- Targeted alignment-based variant confirmation
OhmX Software
How It Works
Performs raw data acquisition with real-time signal processing to transform electronic signals into millions of detailed DNA molecule maps
Monitors instrument runs continuously to detect sample quality issues promptly
Conducts rigorous quality checks on data to provide a comprehensive set of data metrics for in-depth quality assessment and troubleshooting

SV-Verify
How It Works:
Verification of Structural Variants in Tumor Cells using EGM
How to Determine Candidate SVs with SV-Verify

Key Benefits:
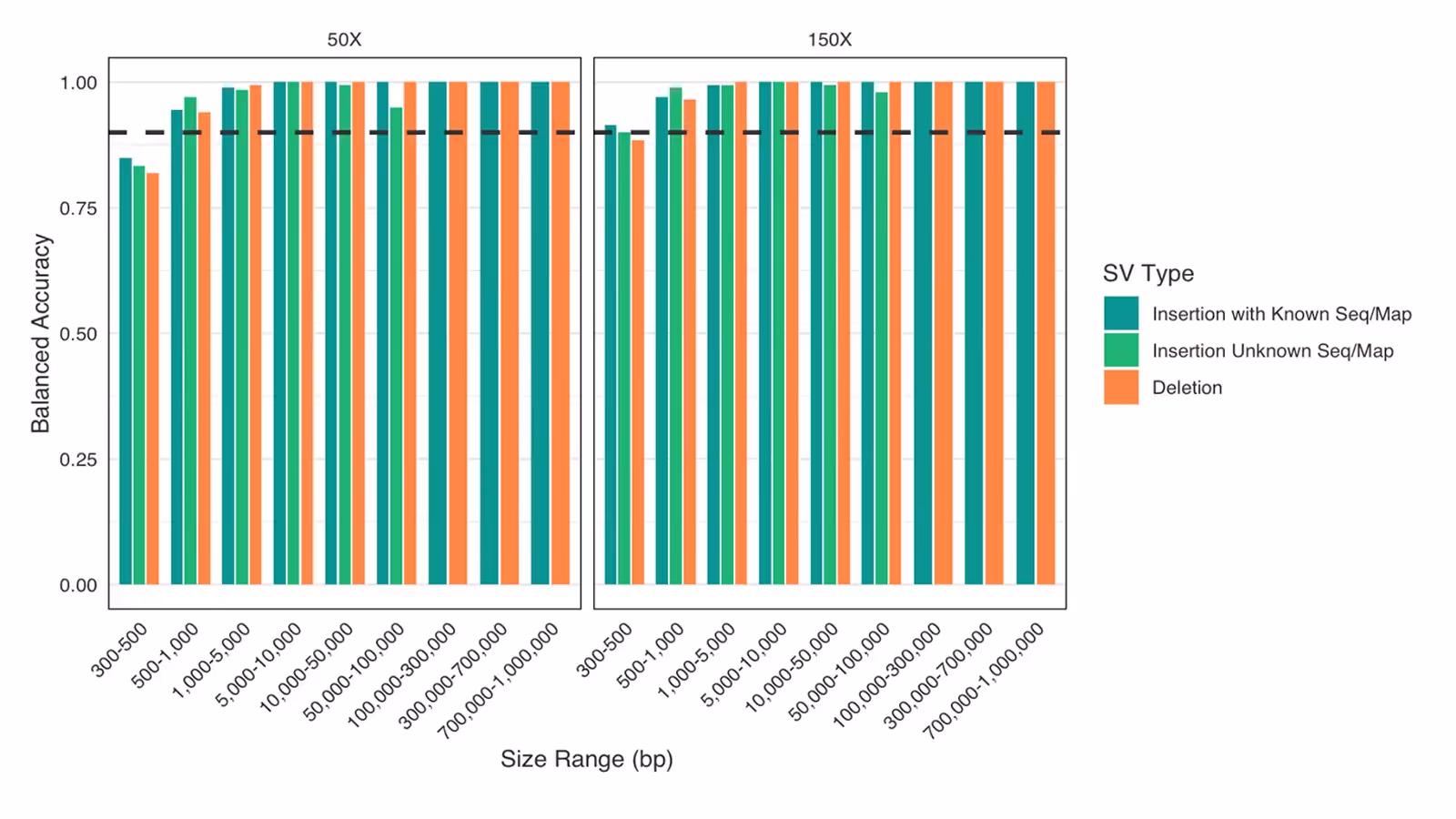
Performance:
Deletions > 500 bp with > 90% accuracy
Insertions > 500 bp with > 90% accuracy
Inversions > 20 kbp with > 95% accuracy
Tandem Duplications 20–100 kbp with > 95% accuracy

Human Chromosome Explorer (HCE)
- Detects SVs through de novo assembly of map contigs derived from OhmX data and alignment of contigs to a chosen human reference such as GRCh37, GRCh38, or T2T
- Provides tools to compare SV calls against published and proprietary datasets
- Offers filtering based on variant type, size, gene locus, and frequency
- Features interactive visualization of contig-to-reference alignments and detailed assembly views at variant locations
- Allows export of results in multiple file formats for flexible reporting and downstream analysis
- Operates via a secure, cloud-based platform for ease of access and collaboration
- Allows SV types such as insertions, deletions, and tandem duplications to be discovered with confidence
Boston Children's Hospital Case Study
De Novo SV Discovery using HCE

Key Benefits:

HCE Demo
Click here for a quick tutorial and example of how to analyze structural variants in HCE using EGM data.
Curious about your genome region? Let OhmX analyze it.
Security
Along with data encryption, Google Cloud provides a cloud infrastructure with robust built-in compliance and security features applied to the physical datacenter, and the network. Hitachi has further built upon this infrastructure to create a secure platform for genomic data called the HCE Security Framework.
Explore the EGM Pipeline




